上海浦东发展银行股份有限公司(以下简称:浦发银行)是 1992 年 8 月 28 日经中国人民银行批准设立、1993 年 1 月 9 日开业、1999 年在上海证券交易所挂牌上市(股票交易代码:600000)的全国性股份制商业银行,总行设在上海。良好的业绩、诚信的声誉,使浦发银行成为中国证券市场中备受关注和尊敬的上市公司。
一、应聘基本条件
1、全日制高等院校应届毕业生; 境内高校学生为 2020.1.1-2020.12.31 期间毕业,境外高校学生为 2019.1.1-2020.12.31 期间毕业。
2、本科及以上学历。
3、专业不限,其中总行信息科技部招聘岗位以计算机与信息技术、大数据挖掘、软件工程、人工智能、金融工程、统计学等理工科专业为主。
4、品行端正、学业优良、身心健康。
5、外语水平、计算机应用能力出色。
6、开拓进取,勇于创新,具备高度的责任心和敬业精神。
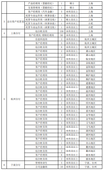
二、招聘需求







注:一名学生最多报两家单位,每家单位最多报两个岗位;须明确志愿顺序。
三、招聘主要程序
简历投递时间:2020年2月26日至3月17日
统一笔试:2020年3月下旬
面试:202年4月
录用:2020年5月
具体时间以我行实际通知为准,通知的形式包括短信、电子邮件或电话等;确定录用后,将以书面形式发放录用通知。
四、报名方式
请点击链接 http://spdb.zhaopin.com, 进行在线应聘报名申请,开放时间 2020 年 2 月 26 日 10:00—3 月 17 日 18:00。
五、服务热线
1、简历投递:021-23068800*66509(智联招聘),9:00 -18:00(开通日期:2020 年 2 月 26 日 至 2020 年 3 月 17 日,每周一至周五)
2、笔试安排:400-650-6886(北森测评),9:00-21:00 (开通日期:2020 年 3 月 24 日 至 2020 年 3 月 31 日)
3、其它咨询:021-61617777(浦发银行),9:00-17:00 (开通日期:2020 年 2 月 26 日 至 2020 年 3 月 31 日,每周一至周五)
