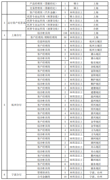
浦发银行招聘职位表,每年的招聘公告里都会有,东吴教育宋老师特别提醒浦发银行一名学生最多报两家单位,每家单位最多报两个岗位;须明确志愿顺序。
报名请点击链接 http://spdb.zhaopin.com, 进行在线应聘报名申请。
更多浦发银行报考职位问题请添加宋老师微信:Acxuzhou回复“浦发职位”。添加,宋老师微信:Acxuzhou ,回复“电子书”领取200多页《全国银行2021考试攻略》电子书。
















最新推荐