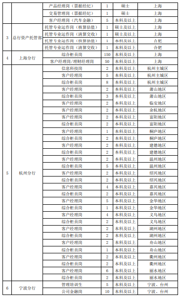
浦发银行2020春季校园招聘职位表:







注:一名学生最多报两家单位,每家单位最多报两个岗位;须明确志愿顺序。
具体岗位及职位表请参考各分行招聘公告,详见《2020年浦发银行春季校园招聘公告汇总》。
上面就是银行考试网小编整理的浦发银行校园招聘的职位表,2021春招的考生可以提前看一看去年的招聘岗位的具体要求,为即将到来的2021春季校招考试做好准备。如果想了解更多银行招聘考试的动态,请关注银行招聘网(http://www.yinhangzhaopin.com/)、银行考试网(http://www.yinhangzhaopin.com/yhks/)官方网站或“银行招聘网”微信公众号。
相关阅读:




