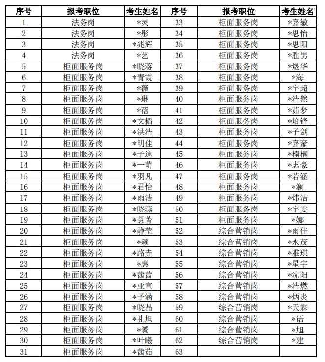
现将2024年校园招聘入围面试名单公告如下:


扫描上方二维码咨询秋招问题

扫描上方二维码进群进行交流
原标题:太仓农村商业银行2024年校园招聘面试公告
文章来源:http://www.tcrcb.com/tcrcb/gywm/rczp56/1096803/index.html
重要提醒:本网站所发布内容为转载资讯,供您浏览和参考之用,请您对相关内容自行辨别及判断,本网站对此不承担任何责任。凡私自告知添加联系方式、保证无条件入职、收取各种费用等信息,请保持高度警惕,防止上当受骗造成各种损失。


扫描上方二维码咨询秋招问题

扫描上方二维码进群进行交流
免责声明:本网站所发布内容为转载资讯,作为转载主体并不承担岗位真实性核查责任,仅供您浏览和参考之用,请您对相关内容自行辨别及判断,本网站不承担任何责任。如有内容、版权等问题请与本网联系删除。

最新推荐
银行招聘信息发布网站 银行招聘网 CopyRight 2004-2023 南京东吴教育咨询有限公司 版权所有 网站地图 苏ICP备15008912号-5