2022年罗田农商行新员工招录资格审查通知
全体报考人员:
欢迎报考罗田农商行!
根据2022年新员工招录工作安排,我行拟于近期组织开展资格审查工作。结合当前疫情防控形势,前期,我行已短信告知考生做好准备工作,提醒考生了解疫情防控要求。根据前期考生反馈的相关信息,按照“能审尽审”“先审辖内、后审异地返回人员”的原则,结合疫情防控“不聚集”的要求,分时段、分批次对资格审查进行了安排。现就有关事项通知如下:
一、资格审查时间
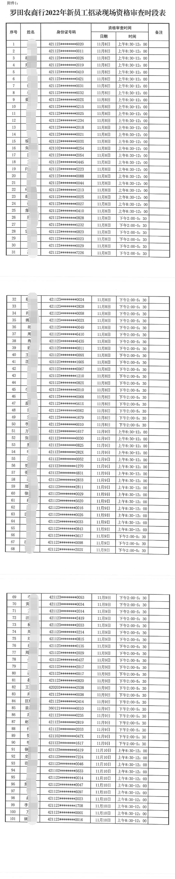
2022年11月8日-10日(具体每位考生审核时间详见附件1)。
二、资格审查地点
罗田县一方山水凯莱大饭店7号会议室。
三、相关工作要求
(一)做好资料准备工作。全体参加资格审查人员,务必对照招录公告相关要求准备相关资料。资料不齐全的,资格审查将不予受理。
(二)按时参加资格审查。为最大限度避免人员聚集,我行分时段、分批次确定了每位报考人员参加资格审查的具体时段,请务必按照本通知规定的时间要求,参加资格审查。逾期未参加资格审查的,视为放弃参加资格审查。
(三)严格落实防疫要求。请全体参加资格审查人员及时关注我县疫情防控要求,严格落实疫情防控要求。如遇防疫政策调整导致无法按时参加资格审查的,请及时致电我行人力资源部。对瞒报行程、谎报健康状况等造成严重后果的,我行将保留将依法追究刑事责任的权利。参加资格审查期间,请按照《疫情防控须知》(见附件2)要求,做好防疫工作。
附件:1.资格审查时间安排








